Solute Transport Equation
Advection-Dispersion Equation

|
θ |
water content |
|
c |
solute concentration [M/L3] |
|
t |
time [T] |
|
x |
spatial coordinate [L] |
|
Dw |
dispersion coefficient [L2/T] |
|
q |
volumetric flux density [L/T] |
Advection-Dispersion-Reaction Equation
Equilibrium and non-equilibrium (non)linear sorption, linear equilibrium between aqueous and aqueous phase, first-order sequential (unidirectional) or decay rate reactions, and zero-order rate reactions are included in the advection-dispersion equation for solutes in the aqueous, solid and gaseous phase. The equation is:
|
θ |
water content |
|
c |
solute concentration in liquid phase [M/L3] |
|
s |
solute concentration in solid phase [M/M] described by a (non)linear (non) equilibrium adsorption isotherms. |
|
t |
time [T] |
|
x |
spatial coordinate [L] |
|
Dw |
dispersion coefficient [L2/T] |
|
q |
volumetric flux density [L/T] |
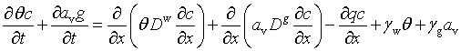
Advection-Dispersion Equation with equilibrium gas exchange

|
θ |
water content |
|
av |
gas content |
|
c |
solute concentration [M/L3] |
|
g |
gas concentration [M/L3] described by a linear equilibrium model |
|
t |
time [T] |
|
x |
spatial coordinate [L] |
|
Dw |
|
|
Dg |
gas diffusion coefficient [L²/T] |
|
q |
volumetric flux density [L/T] |
|
γw |
zero-order rate constant for the liquid phase [M/L³T] |
|
γa |
zero-order rate constant for the gas phase [M/L³T] |
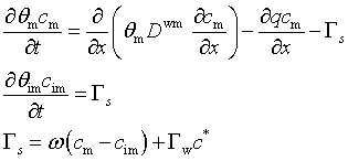
Dual-porosity non-equilibrium advection-dispersion equation [Simunek and van Genuchten, 2008]

|
θm |
water content in mobile region |
|
θim |
water content in immobile region |
|
cm |
solute concentration in mobile region [M/L3] |
|
cim |
solute concentration in immobile region [M/L3] |
|
t |
time [T] |
|
x |
spatial coordinate [L] |
|
Dwm |
dispersion coefficient in liquid phase (mobile region) [L2/T] |
|
q |
volumetric flux density [L/T] |
|
Γs |
mass transfer term between mobile and immobile region [M/L3T] |
|
ω |
mass transfer coefficient [1/T] |
|
Γw |
water transfer term between mobile and immobile region [M/L3T] |
|
c* |
equal to cm if Γw>0 equal to cim if Γw<0 |