Hydraulic functions
van Genuchten - Mualem model (m=1-1/n) [van Genuchten, 1980]
Moisture retention curve

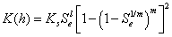
Unsaturated hydraulic conductivity

where
|
θ |
water content [L3/L3] |
|
h |
pressure head [L] |
|
θs |
saturated water content [L3/L3] |
|
θr |
residual water content [L3/L3] |
|
α |
empirical parameter [1/L] |
|
n |
empirical parameter [-] |
|
K |
unsaturated hydraulic conductivity [L/T] |
|
Ks |
saturated hydraulic conductivity [L/T] |
|
l |
empirical parameter [-] |
|
Se |
saturation degree [-], defined as: |
