Scaling Factors
The concept of scaling hydraulic properties is used in the HYDRUS codes to describe spatial variability in the unsaturated soil hydraulic properties in the flow domain. The spatial variability is approximated by a set of three scaling factors in a linear model for the spatial variability (Vogel et al., 1991). In HPx, this concept is extended to describe also the temporal variation of soil hydraulic properties. Thus, by defining spatially-temporal scaling factors, a complex time-variable parameter field can be defined.
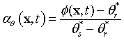
The first is the scaling factor of the water content, αθ, defined as:

where
|
x |
vector with coordinates |
|
t |
time |
|
ϕ |
porosity (-) |
|
θs* |
Reference saturated water content |
|
θr* |
Reference residual water content |
The hydraulic conductivity is scaled with the scaling factor of the hydraulic conductivity, αK :

where
|
x |
vector with coordinates |
|
t |
time |
|
Ks |
saturated hydraulic conductivity |
|
Ks* |
reference saturated hydraulic conductivity |
There exists different models to link geochemical properties to change in hydraulic conductivity:
- Microstructural changes due to dissolution and precipitation of solid phases
- Total porosity
- Carman-Kozeny relationship
- Pore size distribution models
- Temperature and salinity effects through their effect on density and viscosity
The pressure head is scaled with the scaling factor of the pressure head, αh :

where
|
x |
vector with coordinates |
|
t |
time |
|
h |
pressure head |
|
h* |
reference pressure head |