Acid rock drainage - pyrite oxidation
Problem definition
This verification problem is part of a series of benchmarks described in Mayer et al.(2015) on processes controlling the drainage water evolution during acid rock drainage (ARD) generation. Processes included in this verification are variably saturated water flow, multicomponent solute transport, diffusion of oxygen, and kinetic pyrite oxidation.
This one-dimensional problem considers steady-state flow conditions in partially saturated media. Furthermore, atmospheric oxygen ingresses through the gas phase and oxidizes pyrite with an acidification and release of iron and sulphate as a consequence.
A full description of the benchmark, model equation and parameters is found in Mayer et al.(2015).
Acronym KM - SS - ARD01 - 2020
Results
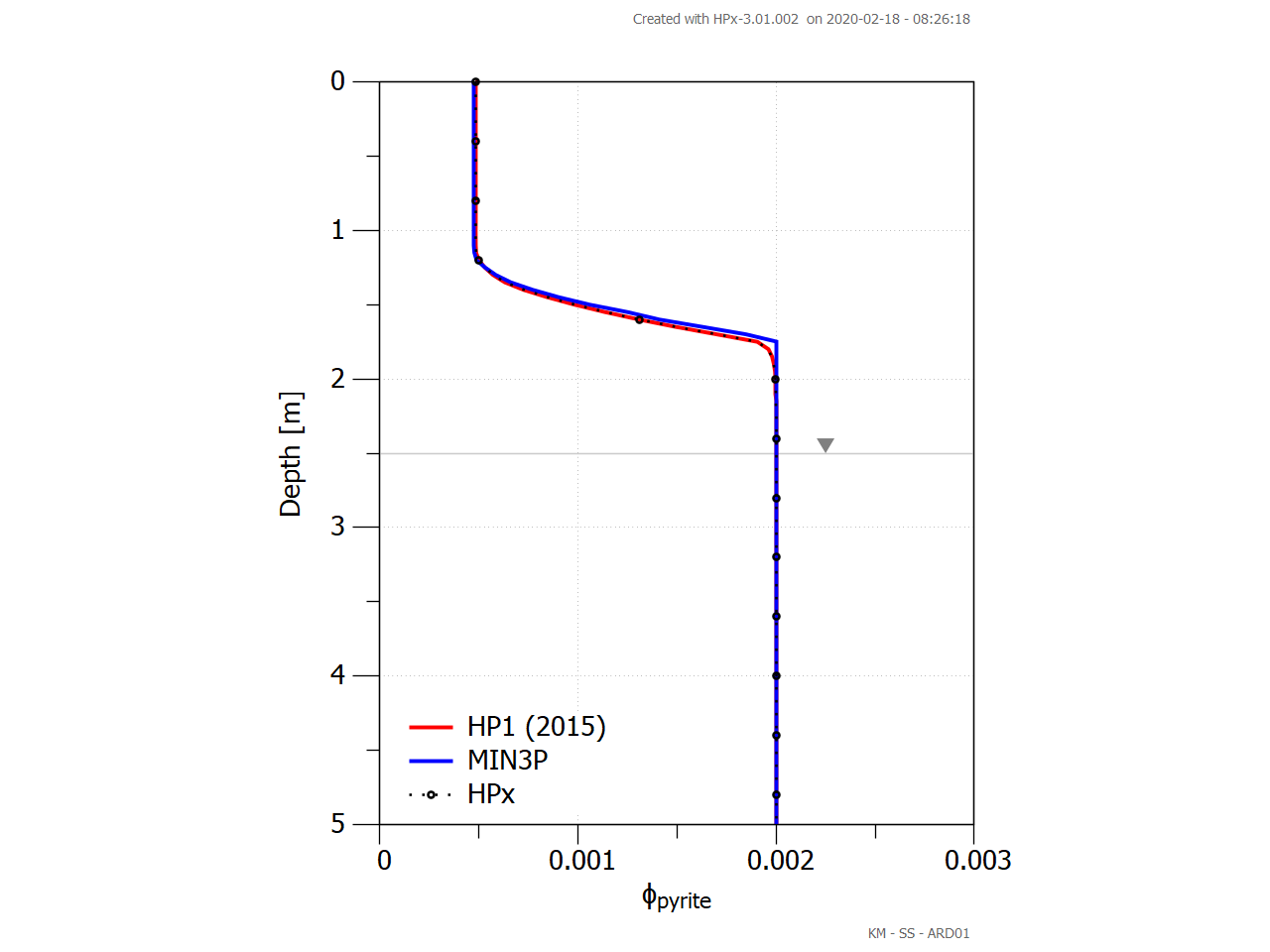
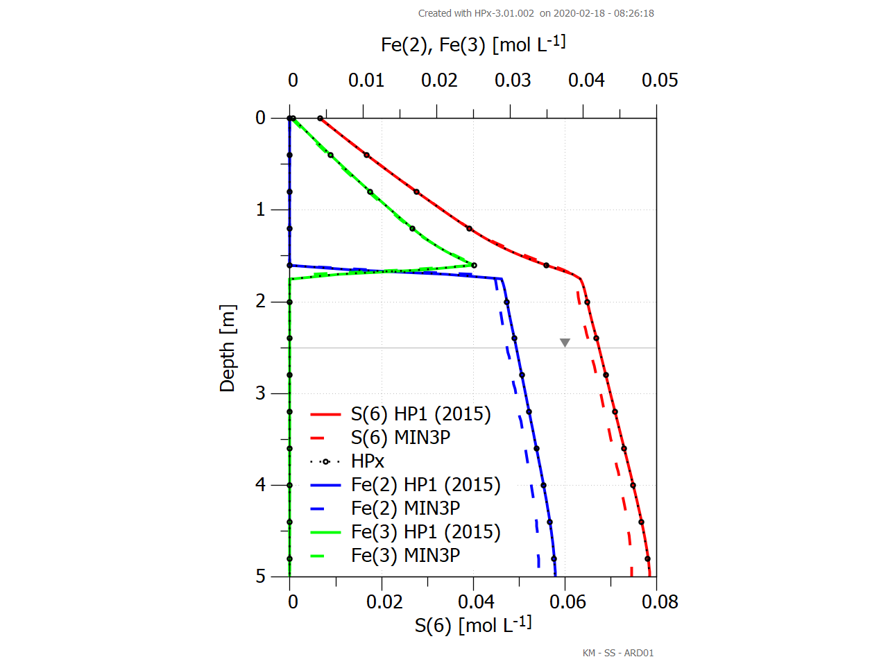
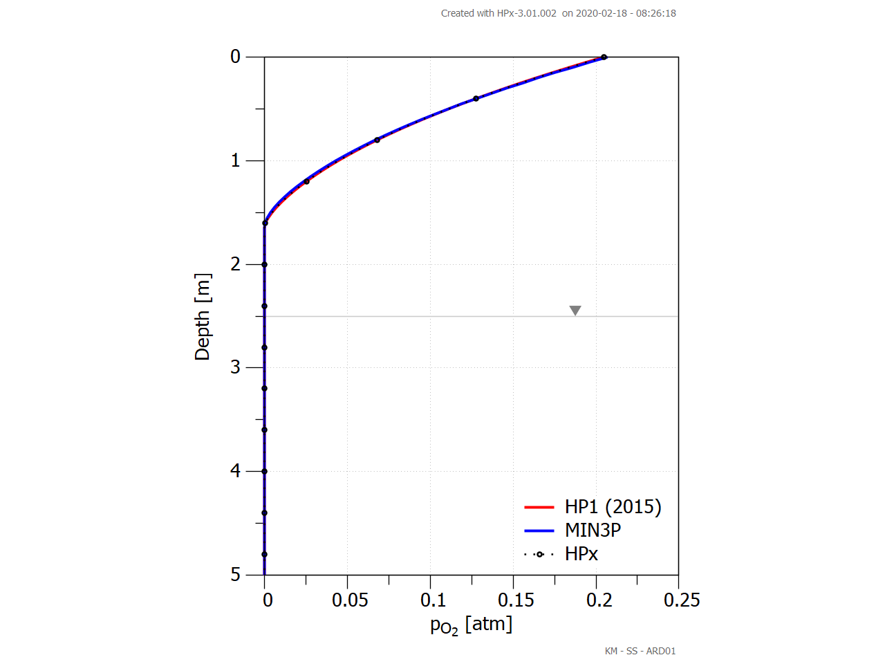
Figures 1 to 4 compare HP1 calculations with MIN3P as previous documented in Mayer et al.(2015) (their Figure 3). Results are shown for MIN3P, and the HP1 version used in Mayer et al.(2015) and the most recent version of HP1. Given the complexity of the system (advective flow and advective transport), the two codes give acceptable similar simulation results

Figure 1 - pH and pe profiles after 10 years.

Figure 2 - Pyrite profile (volume fraction) after 10 years.


Implementation
Processes
Input
- Database from Mayer et al. (2015)
- Additions to database
- Solution definitions
- Geochemistry
- Output - Instructions for the four graphs
HPx Project